ZIF-67@DCD材料的制备以及应用发展
摘要
关键词
电解水制氢,ZIF-67,新型材料制备
正文
1引言
目前,化石燃料是我们社会的最主要资源,但是化石燃料的使用,有着非常大的弊端。例如,人类在使燃烧石燃料的过程中,会产生大量的二氧化碳、甲烷等温室气体。这些气体的排放将会进一步促使全球的气温变暖,导致极端的自然现象频发,对人类的生活造成了极大的危害。我们急需一种更清洁的能源来供人类使用,氢气,无疑是人类目前一个非常好的选择。氢能源不依赖化石燃料,并且在使用的过程中不会有任何的有害有毒物质。并且氢能源最后的产物是水,可以循环重复利用。这样一种高效率且无污染的能源,一旦可以投入稳定使用,就可以为人类的可持续发展带来非常好的前景[1]。
电解水制氢,目前依然有着诸多的问题,例如成本远远高于常见的合成氨,碱性电解水的腐蚀性,氢气的产率低等等,都造成了电解水制氢目前无法大规模的进行投入。本次研究的目的,就是为了在更低的成本下,可以得到一个较高的氢气产率。从而使得电解水制氢可以获得更加廉价的氢气。本研究使用ZOF材料替换传统的贵金属来进行氢气的制备,使得阴极在ZOF催化剂的作用下也可以有一个较好的氢气吸附率。
目前电解水制氢已看见经取得了一定的发展,海内外研究出了很多的新型材料,做到了低廉的价格和较好的催化活性。例如在中国科技大学发表的一篇论文中提到,利用镧系金属掺杂LaCoO3,并形成纳米管材料,这样不仅比传统的铂基催化剂有着更高的性价比,并且具有高比表面积,有效增加了活性位点,使得这个材料同样也拥有着非常良好的催化性能[2]。
目前电解水制氢气的总体趋势是开始利用各种新型材料来替换传统的铂基材料,向着可以拥有更加廉价且更高效的电解水制氢而努力。相比于传统的贵金属,目前大部分新型材料的效率仍然有着一定的差距,但这个差距正在不断缩小,并且价格上已经远远便宜于传统的铂基材料。在研发新型材料的同时,我们也不断的在新型材料中掺入增加活性的物质,使得材料可以有着更好的催化活性。日益繁多的材料种类和对各种新型材料的改进也为新型材料的研究带来了无限的可能性[3]。
2材料与方法
2.1实验材料
碳酸氢钾(KHCO3),硝酸钴(Co(No3)2),无水乙醇(AR),C4H6N2,二氰二胺,DMF,药品均购于阿拉丁生化科技股份有限公司。
2.2实验方法
2.2.1电解水的配置
本次研究的氢气电解形式为碱性电解水制氢(AWE),为了完成本次试验,需要配置出合适的电解液。实验选用配置KHCO3(0.1M)来作为本研究的电解液。实验先在电子天平上摆放烧杯,并在烧杯内部加入了1.01 g的KHCO3与磁石。本实验用量筒量出了100 mL的水,并用移液枪测量出了1 mL的水加入烧杯内部。在加入溶剂后,将烧杯放入磁力搅拌器上,保证可以完全溶解。最终,实验配置出了0.1 M的KHCO3。
2.2.2共沉淀法制备ZIF-67
本试验采用共沉淀法来制备材料ZIF-67,将0.165 mmol 的Co(No3)2放入30 ml的无水甲醇中,搅拌30 min,使得Co(No3)2完全溶解,形成红色透明液体。在等待过程中,配置咪唑溶液,将3 mmol的C4H6N2放入放入45 ml的无水甲醇中,搅拌五分钟,使得C4H6N2完全溶解,形成无色透明液体。接下来,将配置好的咪唑溶液缓慢放入搅拌完全的金属前驱体中,溶液反应最终为蓝色。在室温下搅拌4小时,使得反应充分进行。反映完成后,得到的产物为蓝色浑浊液体。接着,将得到的产物放入离心机中,在8000 rpm下运行12分钟,得到最终产物,为蓝色粉末状固体。用甲醇洗涤产物两次,重复离心,将得到的产物放入60℃环境下真空干燥。将烘干后的产物从试剂管中刮到研钵中,捣碎变成粉末状。最终将粉末状的产物收集进入标本瓶中。
2.2.3共沉淀法制备ZIF-67@DCD
本试验采用共沉淀法来制备材料ZIF-67(DCD),将120 mg的Co(No3)2放入60 ml的无水甲醇中,形成红色透明液体。并且称量出151.4 mg的DCD(二氰二胺)放入红色透明液体中,搅拌30 min使得反应充分进行。在等待过程中,配置咪唑溶液,将6 mmol的C4H6N2放入放入90 ml的无水甲醇中,搅拌五分钟,使得C4H6N2完全溶解,形成无色透明液体。将配置好的咪唑溶液缓慢放入搅拌完全的金属前驱体中,溶液反应最终为蓝色。在室温下搅拌4小时,使得反应充分进行。反应完成后,得到的产物为蓝色浑浊液体。接着,将产物放入离心机中,在8000 rpm下运行12分钟,最终得到蓝色粉末状固体产物。最后,用甲醇洗涤产物两次,重复离心,将得到的产物放入60℃环境下真空干燥。将烘干后的产物从试剂管中刮到研钵中,捣碎变成粉末状。最终将粉末状的产物收集进入标本瓶中。(因在配置样本溶液ZIF-67的时候,发现最终的样本产量较少,于是在配置ZIF-67@DCD的时候,本次试验将溶质的量提升到原本的2.5倍,溶液提升到原本的2倍)
2.2.4 ZIF-67的热解
将粉末状的ZIF-67放入管式炉热解。将左侧与右侧阀门关闭,右侧接入抽气泵,打开抽气泵,将右侧阀门打开,将炉内空气抽成真空。关闭右侧阀门,再关闭抽气泵。接着打开氩气瓶,将Ar气体以固定流速冲入炉中。这个过程重复三次,确保炉内不会有氧气残留。接着用750℃恒温加热两小时。ZIF-67@DCD热解方法同上。
2.2.5制片
本实验将样本瓶中热解完的1.33 mg的ZIF-67,分散于0.35 mL的DMF中。将配置完的样本瓶放入超声机中超声,超声40 min,使得样本分散均匀。用镊子取出一块碳布,每面的碳布用移液枪滴入75 µL的催化剂墨水(分别滴在两面)。滴入墨水后,将碳布晾干,最终得到催化剂样本。ZIF-67@DCD制片方法同上。
2.2.6电化学工作站测量数据
将以上制到的样本插入电解水制氢实验架构中,通电后测量样本的三个图像,在测量样本后测量ZIF-67@DCD的图像并进行对比。本实验测量CV,IT,LSV曲线[5-7]。
3实验结果分析
本实验的最终测量结果如下图:
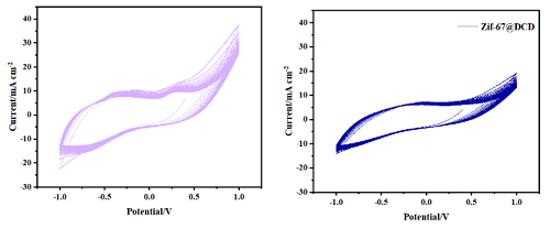
3.1 CV图像

CV曲线主要是测量材料的稳定性,在实验中,测量CV曲线最重要的目的是激活材料的活性,从而在后面的测量中获得一个更直观的实验数据。ZIF-67测出CV曲线如图1所示,ZIF-67@DCD测出CV曲线如图2所示。
图1 ZIF-67在0.1 M KOH电解质中HER反应的CV曲线,图2 ZIF-67@DCD用于在0.1 M KOH电解质中的HER反应
3.2 IT图像

IT曲线表示30 min内反应体系的情况,在图3中可以发现加入DCD材料,稳定时电流更大,导电性更好。
图3 ZIF-67和ZIF-67@DCD用于在0.1 M KOH电解质中的HER反应下的IT图像
3.3 LSV图像

LSV曲线如图4所示,通过大图,发现红色下弯的弧度更大,电流密度大,这表明了ZIF-67@DCD的HER活性较好。通过对小图的分析,在电流密度-10mA cm-2标准下,发现ZIF-67@DCD以更小的点位实现了该电流,说明过点位小,材料的催化性能相对较好。(参比电极为氯化银,参比电压为1.02 V,IT测试电压为-0.4 V vs RHE。[4])
图4 ZIF-67和ZIF-67@DCD用于在0.1 M KOH电解质中的HER反应下的LSV图像
4总结与展望
本文对电解水制氢气的新型材料进行了制备以及改良应用。本实验收集了两个材料的IT,CV,LSV曲线,并对这些曲线进行了数据分析。采用了对比实验的方法来证明最终的实验结果ZIF-67@DCD的性能对比ZIF-67得到了一定的提升。本次实验在样本的取量上有些许的不足,可能会导致最终的样本数量不够的结果。但最终本实验还是顺利进行,并且成功得到了数据。本次研究为未来电解水制氢的新材料打开了一条全新的路径,并且对金属有机骨架材料在催化化学中的应用进行了更深入的研究与发展,为未来对这种新型材料的发展提供了更多的可能。未来电解水制氢领域的新型材料一定会不断的涌现,并且一定会不断的提升制氢气的效率,未来可能会出现能替代金属有机材料的更新型的材料,并且在未来或许会在新型材料的基础上对电解水制氢气的形式作出更好的产氢模式。
参考文献
[1] 郭博文,罗聃,周红军.可再生能源电解制氢技术及催化剂的研究进展[J].化工进展, 2021, 40(6):19.
[2] 俞书宏,余自友.一种镧系金属掺杂钴酸镧型纳米管材料及其制备方法,以及电解水制氢的方法.CN202011041966.1[2023-08-01].
[3] 张卜升,赵盘巢,党蕊,等.一种碳纳米管载钌钴析氢催化剂的制备方法[J].贵金属, 2022, 43(S01):5.
[4] Dilpazir, SobiaRen, PengjuLiu, RongjiYuan, MengleiImran, MuhammadLiu, ZhanjunXie, YongbingZhao, HeYang, YijunWang, XiStreb, CarstenZhang, Guangjin.Efficient Tetra-Functional Electrocatalyst with Synergetic Effect of Different Active Sites for Multi-Model Energy Conversion and Storage[J].ACS applied materials & interfaces, 2020, 12(20).
[5] 石燕君,赵亚欣,许娟,等.高比电容Mn-MOF材料的制备及其电化学性能[J].常州大学学报:自然科学版, 2023, 35(1):28-33.
[6] 韩生等. "一种Co/Mn-MOF/氮掺杂碳基复合材料及其制备方法与应用.", CN202010431727.0. 2022.
[7] 季东.三维石墨烯/MOF基金属氧化物复合材料的制备及其储能性质研究[D].江苏科技大学[2023-08-14].DOI:CNKI:CDMD:2.1017.855278.
...